Limits to Growth
The Malthusian Trap
Two historical myths
Discussion
How scarce resources limit population and income
But also influence inequalities
How the Malthusian trap was escaped
Malthus (food production), Ricardo (decreasing return to agriculture)
Jevons (depletion of coal, the fuel for industrial revolution, 1865)
Mr & Mrs Meadows (natural resources depletion)
Each time, technology, price & behaviour responses have pushed back the limits. Far away.
But we need to go further this simple scheme
Limits to Growth
The Malthusian Trap
Two historical myths
Discussion
Imagine that you need a minimum income (consumption) to live : absolute poverty (2$/day) i.e. what is needed to keep you alive and sustain your productive capacity
Let’s call it starvation income (SI)
One of the first general equilibrium analysis
Technically, population is endogenous in a growth model
Some references on the Unified Growth Model
Lucas, R.E Jr, 1999, “The industrial revolution: past and future”, Mimeo, Department of economics, University of Chicago
Galor O. and Weil D.N., 2000. “Population , Technology , and Growth : From Malthusian Stagnation to the Demographic Transition and beyond”, The American Economic Review, 90(4), 806–828.
Galor O., 2010. “The 2008 Lawrence R. Klein lecture - comparative economic development: Insights from unified growth theory”, International Economic Review, 51(1), 1–44.
Complement/alternative view
Scott, James C. Against the Grain: A Deep History of the Earliest States. Yale Agrarian Studies Series. Yale University Press, 2017.
Boserup, Ester. « Environment, Population, and Technology in Primitive Societies ». Population and Development Review 2, no 1 (1976): 21. https://doi.org/10.2307/1971529.
Population dynamics
Decreasing returns in production of land and fixed quantity of land
Exogenous shocks can increase output
More land is discovered, new techniques (seeds, irrigation, rotation of culture, fertilizers, mechanization) can increase the output per unit of surface (and unit of work)
What is going to happen to:

Suppose a usual Cobb-Douglas production function \[f(K,L) = A K^\alpha L^{1-\alpha} , 0 < \alpha < 1 \]
\(K\) stands for capital (i.e. land resources), with a fixed quantity.
\(L\) stands for labour, unit is an individual, and for simplicity \(L\) is equal to the population (no one is inactive)
\(w\) is the wage, with \(\widehat{w}\) the starvation income (minimum income needed to not die)
\(S\) is the surplus : \(S = f - wL\)
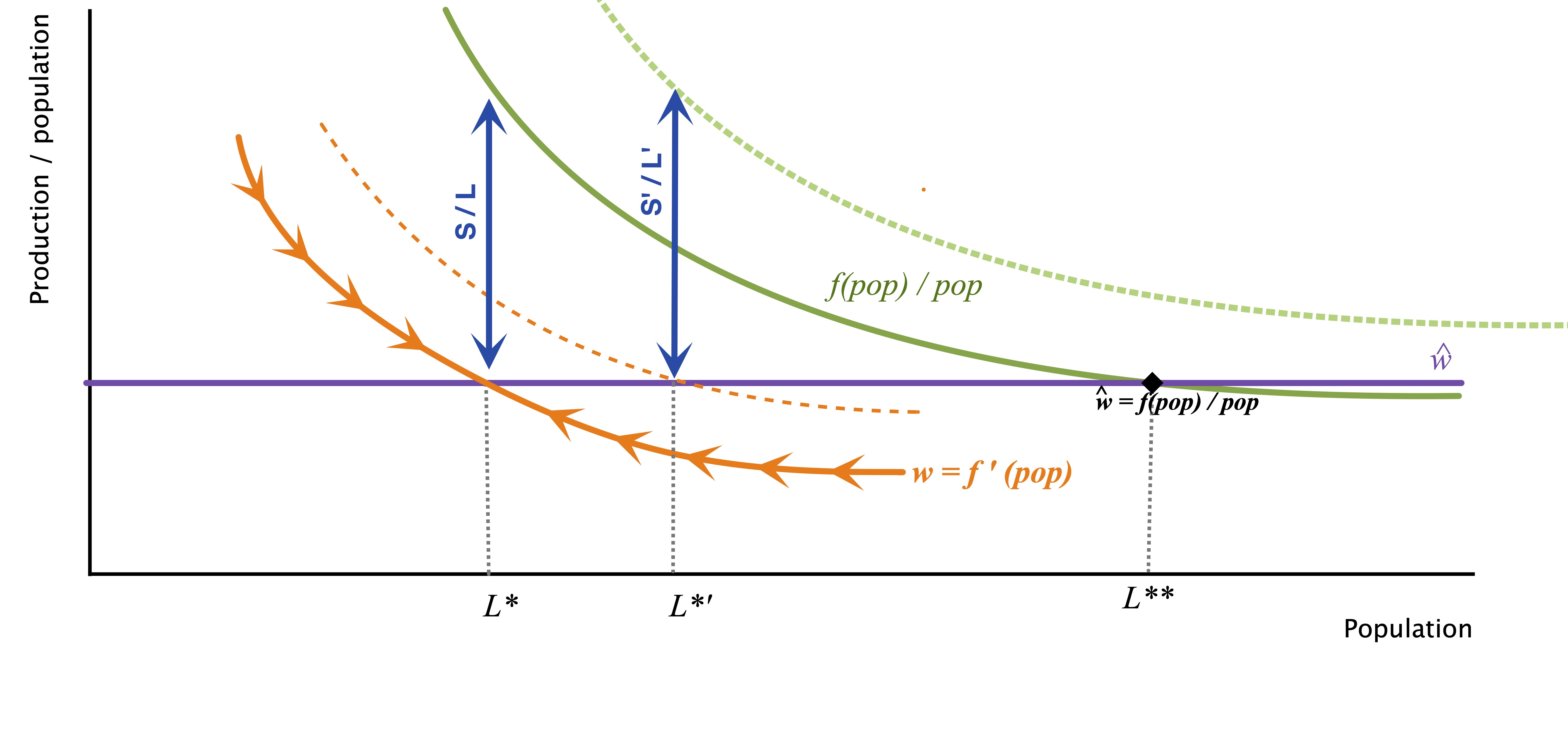
\[\frac{f}{pop} = \frac{f}{L} =\frac{AK^\alpha}{L^\alpha}\] is a decreasing function of \(L\)
In a competitive labour market:
\[w=f_L^\prime= (1 - \alpha) \frac{f}{L} < \frac{f}{L}\] Equilibrium population in a competitive market: \[L^*= \left(\frac{(1−𝛼)𝐴}{\widehat{w}}\right)^{\frac{1}{\alpha}}K\]
Full share equilibrium:
\[L^{**}=\left(\frac{A}{\widehat{w}}\right)^{\frac{1}{\alpha}}K=\frac{L^*}{(1-\alpha)^{\frac{1}{\alpha}}} > L^*\] When \(f_L^\prime = \widehat{w}\) , then \(S = \frac{\alpha}{1-\alpha}\widehat{w}L^* > 0\)
The higher the \(\alpha\), the higher the surplus.

An increase in \(K\) (i.e. more land) or in \(A\) (technical progress) will shift the production function upwards .
\[L^*= \left(\frac{(1−𝛼)𝐴}{\widehat{w}}\right)^{\frac{1}{\alpha}}K\]
\[ S = \frac{\alpha}{1-\alpha}\widehat{w}L^* = \alpha \left(\frac{1-\alpha}{\widehat{w}}\right)^{\frac{1-\alpha}{\alpha}} A^{\frac{1}{\alpha}}K\]

Starvation is a fixed point
Property of land implies surplus
A “robust” model from 10 000 BC to circa 1750 AD
No sex before marriage, especially for the poor
Source: Clark, G., Rogers, J. E. T., Beveridge, W., Gilboy, E., & Phelps-brown, H. (1850). THE LONG MARCH OF HISTORY : FARM LABORERS ’ WAGES IN ENGLAND 1208-1850, 1–35.
Wages are built using various sources, based on archive data, manuscript wages statement, and so on. Cost of living is based on price information about grains.
The IPF (inequality Possibility Frontier) is built as :
The Gini coefficient:
0 means equal allocation
1 means 0 for everyone and the remainder goes to one person
IPF: everyone gets \(\widehat{w}\) , and the rest for one person (maximum inequality possible)
When total production increases, the IPF increases

Imagine a production shift “faster” than the increase in population:
Then, population is lagging behind equilibrium population
Then median food/population can rise, and starvation is no more a “point fixe”
Widespread (by the median individual) accumulation is made possible
positive feedback loop #1
Accumulation of capital means wealth
Split of inheritance between descendants implies fewer children per couple
Demographic transition decrease in the rate of growth of population
Equally, accumulation of capital needs specific human capital, children are costlier to educate and have a higher return (i.e. they can take care of their parents).
positive feedback loop #2
Positive feedback loops make the escape from the Malthusian trap faster and faster
Innovations, fueled by new markets and demand for new goods
Mechanization and chemistry of agriculture was an important leap
Increase in productivity of agriculture made possible the advent of industry
Population shifting from agricultural sector to industrial sector, new products appear
Increase in individual wealth shift institutions toward private property protection
more positive feedback loops
Land is no more a fixed asset and is a produced asset
Property of a produced asset is not the same as property of a non produced one
Produced asset can be socially (i.e. artificially) made scarce
Limits to Growth
The Malthusian Trap
Two historical myths
Discussion
Source: Tintoretto
Limits to Growth
The Malthusian Trap
Two historical myths
Discussion

A model for 10 000 years of Human History
Explains population growth, inequalities, surplus usage
Can be used to serve a theory of State (James C. Scott, anarchism)
Can be applied to demographics and a theory of patriarchy
Has it any future ?
What lessons would you draw from the Malthusian trap model ?
Land may not be scarce in the future, but what else could be ?
What could be done when facing scarcities ?


Limits to Growth and the Malthusian Trap EoE 2026: The Age of Constraints